포도주 시식(Silver 1)
문제
2156번: 포도주 시식
효주는 포도주 시식회에 갔다. 그 곳에 갔더니, 테이블 위에 다양한 포도주가 들어있는 포도주 잔이 일렬로 놓여 있었다. 효주는 포도주 시식을 하려고 하는데, 여기에는 다음과 같은 두 가지 규
www.acmicpc.net
접근법
이 문제에서 구해야 하는 값은 주어진 규칙에 따라 포도주를 시식할 때 마실 수 있는 포도주의 최댓값이다. 주어진 규칙은 다음과 같다.
- 포도주 잔을 선택하면 그 잔에 들어있는 포도주는 모두 마셔야 하고, 마신 후에는 원래 위치에 다시 놓아야 한다.
- 연속으로 놓여 있는 3잔을 모두 마실 수는 없다.
이를 일반화 해서 생각해 보자. n개의 포도주잔이 있을 때 n번째 잔을 마시는 것이 좋을지 마시지 않는 것이 좋을지 우리는 판단할 수 있어야 한다.

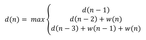
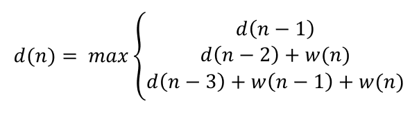
포도주를 연속해서 3잔을 마실 수 없기 때문에 n번째 포도주를 마실지 말지 판단하기 위해서는 3가지 경우를 따져야 할 것이다.
- n-1번 포도주 까지 마시고, n 번 포도주를 마시지 않는다.
- n-2번 포도주 까지 마시고, n-1번 포도주를 마시지 않고, n 번 포도주를 마신다.
- n-3번 포도주 까지 마시고, n-2번 포도주를 마시지 않고, n-1번, n번 포도주를 마신다.

이를 점화식으로 표현하면 다음과 같다.

여기서 직관적으로 잘 이해되지 않는 부분이 있을 수 있다. "n-1번 포도주 까지 마시고 n 번 포도주를 마시지 않는다."에서 만약 n-1번 포도주까지의 최댓값이 n-1번 포도주를 마시지 않는 결정이었다면 "n-1번 포도주 까지의 최대로 마시고 n번 포도주도 마신다."의 경우의 수가 포함되지 않는 것 아니냐?라고 생각할 수도 있다. 이는 한번 더 생각해야 하기 때문에 직관적으로 이해하기는 어렵다. 이 부분에 대해서는 이렇게 생각해보자. n-1번 포도주까지의 최댓값이 n-1번 포도주를 마시지 않는 결정일 수는 있으나, 그렇다면 결국 n-1번 포도주까지의 최댓값 중, n-1번 포도주를 마시지 않는 결정은 n-2번 포도주까지의 최댓값과 같은 값이다. 그리고 우리는 n-2번 포도주 까지 마시고 n번 포도주를 마시는 경우를 두 번째에 반영하였기 때문에 "n-1번 포도주 까지의 최대로 마시고 n번 포도주도 마신다."도 고려되어 있다.
점화식을 살펴보면 d(n)을 구하기 위해서 d(n-1), d(n-2), d(n-3)의 값을 계산해야 한다. d(n-1), d(n-2), d(n-3) 값들도 각각 d(n-2), d(n-3), d(n-4)... 등의 계산을 요구한다. 만약 그때마다 해당 값들을 새로 계산해야 한다면 계산량은 \(O(3^n)\)이 될 것이고 이는 사용할 수 없을 정도로 많은 계산량을 요구한다. 때문에 동적계획법을 활용하여 한 번 계산한 d(n)값은 다시 계산하지 않도록 배열에 저장하자. 그러면 계산량은 \(O(n)\)으로 많이 개선될 수 있다.
구현
#include <iostream>
#include <vector>
#include <algorithm>
using namespace std;
int main() {
ios_base::sync_with_stdio(false);
cout.tie(NULL);
cin.tie(NULL);
unsigned int n;
cin >> n;
vector<int> w(n+1); // n개의 포도주 (1 ~ n개 사용)
vector<int> d(n+1); // 계산결과 저장할 배열 (1 ~ n개 사용)
for (size_t i = 1; i < n+1; ++i)
{
cin >> w[i];
}
// 초기값 설정
d[0] = 0;
d[1] = w[1];
d[2] = w[1] + w[2];
for (size_t i = 3; i < n+1; i++)
{
const int a = d[i - 1];
const int b = d[i - 2] + w[i];
const int c = d[i - 3] + w[i - 1] + w[i];
d[i] = max({ a, b, c });
}
cout << d[n];
return 0;
}